Aktuality SHMÚ
Tropické noci na Slovensku: podhodnotené a čoraz nápadnejšie sa vyskytujúce

Tropickým nociam, nepríjemne ovplyvňujúcim náš obvyklý spánkový režim, sme na Slovensku v doterajšom priebehu tohto leta čelili už viackrát a nevyhneme sa im ani v nasledujúcich dňoch. Početné dni so zaťažujúcimi nočnými hodnotami teploty vzduchu sa v súčasnej klíme stávajú naozaj neoddeliteľnou súčasťou najteplejšej časti roka. V tejto analýze sme sa pozreli na rôzne klimatologické zákonitosti ich výskytu na našom území, vrátane rámcového zhodnotenia skresľovania reálneho počtu tropických nocí či prehľadu niektorých ich hlavných zaznamenaných extrémov.
Tropické noci, počas ktorých teplota vzduchu neklesne pod 20 °C, sú v našich končinách nesporne zaujímavým a aj dôležitým meteorologickým fenoménom. Ich význam je dominantne humánnobiometeorologický; veľmi teplé noci totiž obmedzujú prirodzenú snahu ľudského organizmu regenerovať sa v nočnom čase od tepelného stresu, ktorému bol predtým vystavený v denných hodinách. Nedostatočná nočná regenerácia následne vedie u náchylných osôb k patogenéze, často v ťažkej forme. V terminálnych prípadoch máva vystavenie vysokým nočným teplotám významný podiel na náraste úmrtnosti, spojenej s veľmi teplým počasím. V súčasnej rýchlo sa otepľujúcej klíme početnosť príslušných vysokých denných miním u nás markantne narastá a čoraz bežnejšie sú dlhé obdobia s ich neprerušeným výskytom (viď napr. v tomto, alebo tomto článku). Efekt nočného otepľovania je dokonca hodnotený ako významnejší v porovnaní s otepľovaním dennej doby (tzv. asymetrické otepľovanie).
V klimatologickej štatistike má výskyt tropických nocí zvláštne postavenie. Evidencia nočných míním (rozumej minimum medzi večerným a ranným klimatickým termínom) teploty vzduchu totiž oficiálne nie je predpísaná. V hodnoteniach sa preto tropické noci bežne stotožňujú so štandardne a dlhodobo evidovanými celodennými minimami, čo ale nie je úplne objektívne kvôli prípadom, keď minimálna teplota poklesne pod hodnotu 20 °C neskôr v priebehu dňa (typicky sa to stáva v súvislosti s prechodom studeného frontu). Skutočný počet tropických nocí preto podľa štatistiky celodenných miním býva skreslený, t.j. podhodnotený. Našťastie, nočné minimá sa predsa len doplnkovo evidujú aspoň z meteorologických staníc zasielajúcich spravodajstvo INTER, hoci vo výrazne obmedzenom rozsahu.
Pre účely tohto príspevku sme využili spomenuté údaje o nočných minimách teploty vzduchu podľa spravodajstva INTER, s dostupnosťou od 1. januára 2004 do súčasnosti. Popritom boli analyzované aj údaje o celodenných teplotných minimách zo všetkých meteorologických staníc s klimatologickým programom meraní a pozorovaní v rámci klimatickej databázy SHMÚ z obdobia prevažne od roku 1961 (v prípade niekoľkých staníc aj staršie) do súčasnosti. V tomto krátkom základovom hodnotení sme sa zamerali v prvom rade na porovnanie počtu tropických nocí na Slovensku na základe celodenných, resp. nočných miním teploty vzduchu. Ďalšie odseky sú potom venované extrémom vysokej celodennej a nočnej minimálnej teploty vzduchu.
▌Porovnanie počtu tropických nocí podľa celodenných a nočných miním
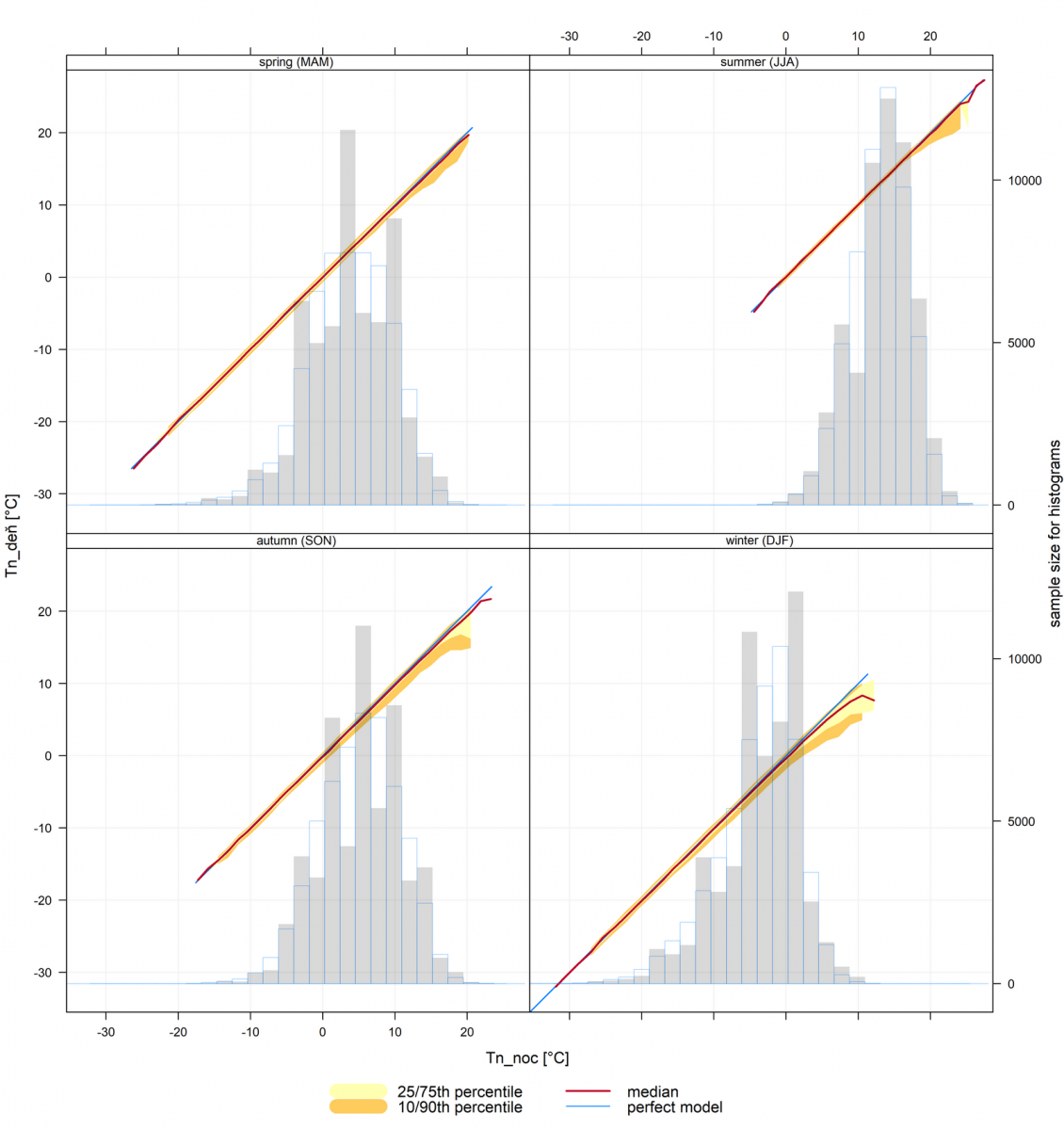
Za obdobie od 1. januára 2004 do 18. júla 2021 sme v rámci údajov hodnotili bezmála 320 000 záznamov s disponibilným celodenným a súčasne aj nočným minimom teploty vzduchu. Obr. 1 znázorňuje, že k najväčšiemu skresľovaniu miním vo všeobecnosti dochádza pri najvyšších hodnotách teploty vzduchu, čo sa v teplej časti roka náležite týka práve tropických nocí (obr. 2, 3 a 4). Ukázalo sa, že skutočný počet tropických nocí podľa nočných miním bol spolu o 20,9 % vyšší než podľa celodenných miním. V letných mesiacoch (jún, júl, august), kedy sa vyskytuje drvivá väčšina tropických nocí, ich bolo podľa nočných miním identifikovaných o 20,2 % viac, mimo leto však až o 58,8 % viac.
Prirodzene, rozdiely existujú medzi jednotlivými lokalitami (obr. 2 a 3). Na našich najexponovanejších meteorologických staniciach, resp. staniciach s viacmenej kompletným pozorovacím radom za porovnávané obdobie bolo navýšenie početnosti tropických nocí podľa nočných miním oproti celodenným nasledovne: Holíč o 13,3 %; Kuchyňa o 32,5 %; Bratislava-Mlynská dolina o 19,0 %; Bratislava-Koliba o 11,9 %; Bratislava-letisko o 15,7 %; Kráľová pri Senci o 14,9 %; Piešťany o 35,8 %; Žihárec o 11,3 %; Nitra-Janíkovce o 16,1 %; Mochovce o 30,8 %; Hurbanovo o 16,5 %; Dudince o 15,4 %; Topoľčany o 23,4 %; Prievidza o 27,8 %; Dolný Hričov o 80,0 %; Sliač o 100,0 %; Boľkovce o 18,2 %; Rimavská Sobota o 44,4 %; Košice-letisko o 18,9 %; Trebišov (Milhostov) o 11,1 %; Somotor o 20,6 %; Orechová o 33,3%; Kamenica nad Cirochou o 68,4 %.
▌Noci s minimom ≥ 25,0 °C (tzv. supertropické)
Vskutku pozoruhodným je výskyt extrémne teplých nocí s dosiahnutým teplotným minimom 25 °C alebo vyšším, pre ktoré bolo už aj v recenzovaných publikáciách navrhnuté označenie „supertropické“ noci (Lapin a kol. 2016). Pochopiteľne, už samotné objavenie sa takýchto hodnôt až v posledných 30 rokoch napovedá o intenzifikácii nočných teplôt. Celodenné dvadsaťpäťstupňové minimá sme u nás prvýkrát zaznamenali v auguste 1992, potom v roku 2005, avšak v minulej dekáde ich výskyt nápadne vzrástol a objavili sa v rokoch 2012, 2013, 2015, 2016 a 2017.
Špeciálne podľa dostupných nočných miním sme tieto tzv. supertropické noci zaevidovali okrem uvedených rokov znovu aj v priebehu tohto leta 9. júla 2021 (noc z 8. na 9. júla). Osobitne možno zmieniť, že na našej klimatologicky najvýznamnejšej meteorologickej stanici v Hurbanove bola uvedená noc s nočným minimom 25,4 °C pravdepodobne prvou tzv. supertropickou, a teda úplne najteplejšou nocou minimálne od roku 1901.
▌Extrémy vysokých teplotných miním a tropických nocí
V tab. 1 uvádzame prehľad najvyšších zaregistrovaných teplotných miním u nás v jednotlivých mesiacoch za celý rok. Nie je bez zaujímavosti, že tropickú noc sme vlani zaregistrovali už aj v mesiaci október a v uplynulých rokoch sme sa k tomu priblížili aj v apríli a dokonca aj v novembri. Najskorší výskyt tropickej noci v ročnom chode sme v spracovaných údajoch identifikovali 5. mája, a to v Orechovej ešte z roku 1977.
Najdlhšiu staničnú sériu tropických nocí evidujeme na základe celodenných miním v trvaní až 20 dní, vyskytla sa v Bratislave-Petržalke 23. júla – 11. augusta 1994. Pozícia unikátnej petržalskej série nebola doteraz ohrozená, čo platí aj po vyhodnotení rozšírenej evidencie údajov s dostupnými nočnými minimami.
V zmysle extremizácie je určite zaujímavé je aj sledovanie posunu tropických nocí do vyšších nadmorských výšok, resp. netypických lokalít pre ich výskyt. Prípady tropických nocí sme v uplynulom období už zaevidovali (viď aj na obr. 2 a 3) napr. v Čadci (nočné minimá teploty vzduchu 3. júla 2012 20,6 °C a 25. augusta 2015 20,2 °C), Gánovciach (nočné minimum 8. júla 2015 22,4 °C), Poprade (nočné minimum 27. júna 2019 20,3 °C), alebo Liptovskom Mikuláši-Ondrášovej (celodenné minimum 9. júla 2021 20,8 °C). Len čosi dlhšie, stále však z obdobia po roku 1990, evidujeme tropické noci napr. v Kremnických Baniach, v Dolnom Hričove, na Donovaloch, vo Vígľaši-Pstruši, v Lome nad Rimavicou, na Poľane, v Tatranskej Polianke, v Ratkovej, v Spišských Vlachoch, v Červenom Kláštore, v Bardejove, v Jakubovanoch, v Medzilaborciach (Krásnom Brode), či v Osadnom.
▼ Tab. 1: Najvyššie minimá teploty vzduchu na Slovensku v jednotlivých mesiacoch do 24. júla 2021.
.jpg)
▲ Obr. 1: Sezónna distribúcia (histogram) hodnôt nočného minima teploty vzduchu na meteorologických staniciach so spravodajstvom INTER na Slovensku za jednotlivé ročné obdobia v období od 1. januára 2004 do 24. júla 2021. Doplňujúca červená krivka predstavuje medián štatistického vzťahu medzi nočným a celodenným minimom teploty vzduchu.

▲ Obr. 2: Ročný počet tropických nocí podľa celodenného minima teploty vzduchu na vybraných meteorologických staniciach so spravodajstvom INTER na Slovensku v období od 1. januára 2004 do 24. júla 2021.

▲ Obr. 3: Ročný počet tropických nocí podľa nočného minima teploty vzduchu na vybraných meteorologických staniciach so spravodajstvom INTER na Slovensku v období od 1. januára 2004 do 24. júla 2021.

▲ Obr. 4: Ročný počet tropických nocí podľa nočného minima teploty vzduchu (na osi y) a rozdiel medzi počtom tropických nocí podľa nočného minima a podľa celodenného minima (farebná škála) na vybraných meteorologických staniciach so spravodajstvom INTER na Slovensku v období od 1. januára 2004 do 24. júla 2021.
Literatúra a zdroje:
▪ Jůza P. (2017): Porovnání počtu tropických nocí a počtu dnů s minimální teplotou aspoň 20 °C a vyšší v ČR. Meteorologické Zprávy 70(2): 51–56. <online>
▪ Karl T. R., Jones P. D., Knight R. W., et al. (1993): A new perspective on recent global warming: asymmetric trends of daily maximum and minimum temperature. Bulletin of the American Meteorological Society 74(6): 1007–1024. <online>
▪ Klimatická databáza SHMÚ - KMIS.
▪ Lapin M., Šťastný P., Turňa M., Čepčeková E. (2016): High temperatures and heat waves in Slovakia. Meteorologický Časopis 19(1): 3–10. <online>
▪ Murage P., Hajat S., Kovats R. S. (2017): Effect of night-time temperatures on cause and age-specific mortality in London. Environmental Epidemiology 1(2): e005. <online>
Vybrané staršie aktuality SHMÚ s obsiahnutými informáciami k téme:
○ Na Slovensku vládnu tropické teploty (publikované v r. 2013)
○ Tropické dni a noci v júli (2013)
○ V noci padol teplotný rekord v Piešťanoch (2013)
○ Zmeny výskytu horúcich dní a tropických nocí v lete na Slovensku (2015)
○ Prvá tropická noc v roku 2015
○ Tropická noc aj v Žilinskom kraji (2015)
○ Enormný výskyt supertropických dní a tropických nocí na Slovensku v lete 2015
○ Tropická noc v septembri (2015)
○ Tropické dni a tropické noci v septembri 2016
○ Žatva rekordov v lete 2021: nové zápisy v evidencii historicky najdlhších horúčav na Slovensku

